භින්න භාගික අනුකලනය කිරීම
අනුකලනය
කිරීමට තිබෙන්නේ ශ්රිත දෙකක
අනුපාතයක් නම්, මෙම
භින්න භාගික අනුකලන ක්රමය
(partial fraction integration) භාවිතා
කිරීමට අවස්ථාවක් ඇත.
ශ්රිත දෙක
අනුපාතයක් හෙවත් භාගයක
ස්වරූපයෙන් පවතින (එනම්
හරය හා ලවය යන දෙකෙහිම ශ්රිත
පවතින) නිසයි
මෙම "භාගික"
යන නම ලැබී
තිබෙන්නෙත්. මෙම
ක්රමයෙන් ගැටලු විසඳීමට
වීජීය ගණිතය (algebra)
පිළිබඳ
දැනුමද අවශ්ය කෙරෙන බව මතක
තබා ගන්න.
මතකයට
වීජීය ප්රකාශන
ගණිත
ප්රකාශයක විචල්යවල විවිධ
බල/දර්ශක
අගයන් තිබිය හැකියි.
උදාහරණ
ලෙස x5,
t3
+ 2, s6
+ s2
– 4 යන
ප්රකාශ බලන්න.
එකතු
කිරීමේ හෝ අඩු කිරීමේ සලකුණුවලින්
වෙන් කර තිබෙන කොටස් පද
(terms)
ලෙස
හැඳින්වෙනවා.
ගුණකිරීම්,
බෙදීම්
වලින් එක්කොට තිබෙන විට,
ඒවා
තනි පදයක් ලෙසයි සලකන්නේ (A
+ B යනු
පද දෙකක් වුවද,
A
x B යනු
ඒ අනුව පද දෙකක් නොව තනි පදයකි).
පළමු
ප්රකාශයේ පද එකක් තිබෙන අතර,
එම
පදය 5
වැනි
බලයට නංවා ඇත.
දෙවැනි
ප්රකාශයේ පද දෙකක් තිබෙන
අතර,
ඉන්
එක පදයක් 3
වැනි
බලයේ පදයක් වන අතර අනෙක් පදය
නිකංම නියත පදයකි.
තෙවැනි
ප්රකාශය තුළ පද තුනක් ඇති
අතර,
ඉන්
එකක් 6
වැනි
බලයටද,
අනෙක
2
වැනි
බලයටද නංවා ඇති අතරම තෙවැනි
පදය නියතයකි.
මේවා
සියල්ලම ගණිත ප්රකාශ වේ (තනි
විචල්යය පදයක් පමණක් සහිත).
සාමාන්යයෙන්
ගණිතයේදී යම් බලයකට නැංවූ පද
සහිත ප්රකාශයක් පොදුවේ
ලියන්නේ පහත ආකාරයටයි.
a0
+ a1x1
+ a2x2
+ a3x3
+ a4x4
+ … + anxn
ඉහත
ප්රකාශයේ රටාව බලන්න.
මුලින්ම
ඇත්තේ a0
නම්
නියත පදයකි.
එහි
කිසිදු x
විචල්ය
පදයක් නැත.
ඇත්තටම
ඉහත රටාව ඔස්සේ ගියොත් a0
ට
පසුව
x0
නම්
x
විචල්ය
පදය ඇතැයි යනුවෙනුත් පැවසිය
හැකියි.
x0
=1 නිසා
නිකරුණේ x0
ලෙස
ලිවීමට අවශ්ය නැත.
එතැන්
සිට ක්රමයෙන් x
වල
දර්ශකය එකින් එක වැඩි වේ.
අවශ්ය
නම්,
ඉහත
ප්රකාශයම anxn
සිට
පටන් ගෙන a0
දක්වා
ආපස්සටද ලිවිය හැකියි.
ඇත්තටම
යම් ගණිත ප්රකාශයක වැඩිම
බලය/දර්ශකය
වැදගත්.
උදාහරණයක්
ලෙස,
වැඩිම
බලය 5
නම්,
එවැනි
ප්රකාශයක් සාධාරණ විදියට
හෙවත් පොදුවේ ලිවිය යුත්තේ
පහත ආකාරයටයි.
a0
+ a1x1
+ a2x2
+ a3x3
+ a4x4
+ a5x5
එහෙත්
ප්රායෝගිකව අපට හැමවිටම
හරියටම බලය/දර්ශකය
එකින් එක වැඩි වෙන සේ තිබෙන
ගණිත ප්රකාශම ලැබෙන්නේ නැත.
උදාහරණයක්
ලෙස, 5 වැනි
බලය සහිතව ගණිත ප්රකාශ කිහිපයක්
පහත දැක්වේ.
x5
2x5
x5 –
8x3
9x5 + x4
+ 2x2 – 5
ඉහත
ආකාරයෙන් විචල්යවලින් සාදා
ගන්නා සෑම ගණිත ප්රකාශයක්ම
වීජීය ප්රකාශ (algebraic
expression) ලෙස
හැඳින්වෙනවා. ඉහත
ප්රකාශ සියල්ලම වලංගු වීජීය
ප්රකාශ වේ. වැඩිම
බලයේ/දර්ශකයේ
නමින්ම එම ප්රකාශ නම් කෙරේ;
ඒ අනුව එම
සියලු ප්රකාශ 5වැනි
බලයේ වීජීය ප්රකාශ වේ.
එහෙත් ඔබට
අවශ්යම නම් ඉහත ප්රකාශ
සියල්ලම සාධාරණ ආකාරයටද ලිවිය
හැකියි. මෙහිදී
නොපවතින x පදවල
සංගුණක 0 කර
දක්වන්න.
X5 →
x5 + 0x4 + 0x3 + 0x2 +
0x + 0
2x5 →
2x5 + 0x4 + 0x3 + 0x2 +
0x + 0
x5 –
8x3 → x5 + 0x4 – 8x3
+ 0x2 + 0x + 0
9x5 + x4
+ 2x2 – 5 → 9x5 + x4 + 0x3
+ 2x2 + 0x – 5
වීජීය
ප්රකාශන දෙකක් එකතු කිරීම,
අඩු කිරීම,
වැඩි කිරීම,
බෙදීම,
බලයකට නැංවීම
යන මූලික ගණිත කර්ම 5 (හා
වෙනත් ගණිත කර්මත්) සිදු
කිරීමට ඉගෙන ගෙන තිබිය යුතුය.
වීජීය
ප්රකාශන 2ක්
එකතු කරන විට, සමාන
බලය සහිත පද වෙන වෙනම එකතු කළ
යුතුය. අඩු
කරන විටත් සමාන බලය සහිත පද
සැලකිය යුතුය. වීජීය
ප්රකාශ තුළ යම් යම් බල සහිත
විචල්ය නොමැති වීමට හැකිය.
එවිට සංගුණකය
0 ලෙස
ඇති එම බල සහිත විචල්ය ඔබ
විසින් මුල් ප්රකාශයට ඇතුලු
කර උපරිම දර්ශකයේ/බලයේ
සිට ක්රමයෙන් එක බැගින් අඩු
වන සියලුම බල සහිත වීජීය
ප්රකාශන අලුතින් සාදා ගත
හැකියි (එහෙත්
එසේ බොරුවට අලුතින් පද එකතු
කරන්නේ නැතිව කෙලින්ම ඒවා
සුලු කිරීමට ඔබට පහසු වනු ඇත).
උදාහරණ
කිහිපයක් ගමු.
(4x3
+ 2x2
+ 6x + 8) +
(3x3
+ x2
+ 2x + 11)
= 7x3
+ 3x2
+ 8x + 19
(5x4+3x2)+(3x3+2x2+22)=(5x4+0x4+0x3+3x2+0x+0)+(0x4+3x3+2x2+0x+22)
= 5x4+0x4+3x3+5x2+0x+22
= 5x4 + 3x3 +
5x2 + 22
(6x3 –
2x + 20) + (x3 + 5x – 5) = 7x3
+ 3x + 15
(8x3 +
4x2 + 14) – (3x3 – 2x + 6) = 5x3
+ 4x2 + 2x + 8
අඩු
කරන විට - ලකුණට
පසුව ඇති ප්රකාශයේ සෑම පදයක්ම
-1න්
වැඩි වන බව ඔබ දන්නවානෙ.
වීජීය
ප්රකාශ දෙකක් එකිනෙකට ගුණ
කරන විට, එක්
ප්රකාශයක තිබෙන සෑම පදයකින්ම,
අනෙක්
ප්රකාශයේ සෑම පදයක්ම ගුණ කළ
යුතු වෙනවා (දර්ශක
රීතිද අනුගමනය කළ යුතු වෙනවා;
උදාහරණ ලෙස,
(x4).(x2) = x(4+2) = x6).
උදාහරණ
කිහිපයක් බලමු.
(x+y)(a+b) = xa + xb
+ ya + yb
(3x2 + x
+ 3)(2x – 4) = (3x2)(2x)+(3x2)(-4)+(x)(2x)+(x)(-4)+(3)(2x)+(3)(-4)
= 6x3 – 12x2 + 2x2
– 4x + 6x – 12
= 6x3 – 10x2
+ 2x – 12
යම්
වීජීය ප්රකාශයක් බලයකට
නැංවීමද ඉහත ගුණ කිරීම සිදු
කරන ආකාරයෙන්ම සිදු කළ හැකියි.
උදාහරණයක්
ලෙස වීජීය ප්රකාශය තුනේ බලයට
නංවනවා යනු, එම
වීජීය ප්රකාශය එම ප්රකාශයෙන්ම
තුන් පාරක් ගුණ කිරීමකි.
බලය 4
නම්,
4 පාරක් එකම
ප්රකාශය ගුණ කළ යුතුය.
මෙවිට වරකට
කොටස් 2 බැගින්
ගෙන ගුණ කරන්න. උදාහරණයක්
බලමු.
(x+y)3 =
(x+y).(x+y).(x+y) = (x2 + 2xy + y2).(x+y) = x3
+ 3x2y + 3xy2 + y3
(x ±
y)n
වැනි
ප්රකාශයක් සුලු කිරීමේදී
ලැබෙන්නේ පද කිහිපයකින් යුතු
ප්රකාශයක් බව පේනවා නේද?
එනම් යම්
ප්රසාරණය වීමක් සිදු වෙනවා.
ඇත්තටම
මෙය වීජීය ප්රකාශයක් ප්රසාරණය
කිරීම (expansion)
ලෙසයි
හැඳින්වෙන්නේ.
ප්රකාශයේ
බලය/දර්ශකය
වැඩි වන විට ප්රසාරණයේ ලැබෙන
පද ගණනද වැඩි වේ;
සුලු
කිරීමට තරමක් වෙලාවද ගනී.
එහෙත්
එවැන්නක් පහසුවෙන් ප්රසාරණය
කරන ක්රමයක්ද ඇත.
එහි රටාවක්
ඇත.
දර්ශකයට
වඩා 1ක්
වැඩි පද ගණනක් ප්රසාරණයේදී
ලැබේ. ඒ
අනුව දර්ශකය n
නම්,
පද n+1
ගණනක්
ලැබේ.
තවද,
සෑම පදයකම
x හා
y දෙකම
ගුණිතයක් ඇත.
එම ගුණිතයේද
රටාවක් ඇත -
එනම්,
එක්
විචල්යයක බලය 0
සිට
ක්රමයෙන් n
දක්වා
වැඩි වන අතර,
අනෙක්
විචල්යයේ බලය n
සිට 0
දක්වා
ක්රමයෙන් අඩු වේ;
හැමවිටම
විචල්යය දෙකෙහි දර්ශකවල
එකතුව n වේ.
දැන්
අප පද ගණනත්,
එම පදවල
විචල්ය පැවතිය යුතු ආකාරයත්
දන්නවා.
එහෙත් ඒ
එක් එක් පදය ඉදිරියෙන් තිබෙන
සංගුණක අගයන් කුමක් විය යුතුද?
ඊටද පැස්කල්
ත්රිකෝණය (Pascal's
triangle) නම්
උපක්රමයක් ඇත.
පැස්කල්
ත්රිකෝණය පහත ඇත.
එහි ඇත්තේ
සංඛ්යාය.
උඩ සිට
යටට යන විට එක් එක් පේලියේ
සංඛ්යා 1ක්
බැගින් වැඩි වේ (එනම්
යම් පේලියක තිබෙන සංඛ්යා
ගණනට වඩා ඊට යටින් තිබෙන පේලියේ
එක් සංඛ්යාවක් වැඩිය).
මෙම
පැස්කල් ත්රිකෝණය සකස් කර
ගැනීමද පහසුය.
උඩම පේලියේ
1 පමණක්
ලියන්න.
ත්රිකෝණයේ
වම් හා දකුණු කෙලවර හැමවිටම
1 වේ.
වම් පැත්තේ
1 ට
වම් පැත්තේ 0
ද,
දකුණු
පැත්තේ 1 ට
දකුණු පැත්තෙන් 0
ද ඇති බව
සිතින් සිතා ගන්න.
ඉන්පසු
ඊට යට පේලියේ සංඛ්යා 2ක්
තිබිය යුතුයිනෙ.
එම සංඛ්යා
දෙක ලබා ගන්නේ උඩ පේලියේ වම්
කෙලවර සිට දකුණු කෙළවර දක්වා
ඇති සංඛ්යා වරකට 2
බැගින්
එකතු කරමින්ය.
ඒ අනුව,
වම්
පැත්තෙන්ම ඇත්තේ 0
හා 1
නිසා,
දෙවැනි
පේලියේ පළමු සංඛ්යාව 0+1
= 1 වේ.
ඉන්පසුව
තිබෙන්නේ 1
හා 0
වේ.
එවිට
දෙවැනි පේලියේ දෙවැනි සංඛ්යාව
1+0 = 1 වේ.
මීට අමතරව
දෙවැනි පේලියේ දෙකළවර 0
ඒවා දෙකක්
තිබෙන බවද අමතක කරන්න එපා
(එහෙත්
කෙලවරවල්වල ඇති 0
ඒවා අපි
දක්වන්නේ නැත;
ඒවා සිතින්
මවා ගන්න).
දැන්
තුන්වෙනි පේලියට යමු.
එහි සංඛ්යා
3ක්
තිබිය යුතුයිනෙ.
දැන් නැවත
ඉහතදී කරපු ක්රියාවලිය කරන්න.
දෙවැනි
පේලියේ වම් පැත්තේ සිට පටන්
ගමු. මුලින්ම
හමුවන ඉලක්කම් දෙක වන්නේ 0
හා 1
ය.
ඒ අනුව,
පළමු
සංඛ්යාව 0+1
= 1 වේ.
ඉන්පසු
1 හා
1 හමු
වේ. එවිට,
දෙවැනි
සංඛ්යාව 1+1
= 2 වේ.
තෙවනුව
1+0 = 1 වේ.
සිව්වැනි
පේලිය ගමු.
ඊට සලකා
බලන්නේ තුන්වැනි පේලියයි.
තුන්වැනි
පේලියේ වමේ සිට දකුණු ඇති
සංඛ්යා වරකට දෙක බැගින් එකතු
කරගෙන යන්න.
එවිට,
0+1 = 1, 1+2 = 3, 2+1 = 3, 1+0 = 1 යන
සංඛ්යා 4
ලැබේ.
මේ ආදී
ලෙස ඕනෑම පේලි ගණනක් දක්වා
ත්රිකෝණය එම රටාව ඔස්සේ සාදා
ගත හැකියි.
ප්රසාරණය
කරපු වීජීය ප්රකාශනයේ පද
ගණනට සමාන සංඛ්යා ගණනක් තිබෙන
පේලිය පැස්කල් ත්රිකෝණයෙන්
ලබා ගන්න.
ඉන්පසු
එම ප්රසාරිත වීජීය ප්රකාශයේ
සංගුණක වන්නේ එම පේලියේ සංඛ්යා
තමයි.
උදාහරණයක්
බලමු.
(x
+ y)4
→ x4y0
+ x1y3
+ x2y2
+ x1y3
+ x0y4
→ x4
+ xy3
+ x2y2
+ x3y
+ y4
පද
5ක්
තිබෙන නිසා පැස්කල් ත්රිකෝණයෙන්
සංඛ්යා 5ක්
තිබෙන පේලිය තෝරා ගත යුතුය.
එනම්,
1 4 6 4 1 යන
අගයන් ඉහත පද වලට පිළිවෙලින්
සංගුණක ලෙස යොදන්න.
එවිට,
(x
+ y)4
= x4
+ 4xy3
+ 6x2y2
+ 4x3y
+ y4
මැද
තිබෙන්නේ +
වෙනුවට
- නම්,
ඉහත රටාවට
පහත ආකාරයට සුලු වෙනසක් සිදු
වේ. එනම්,
පද අතර
තිබෙන සලකුණු මාරුවෙන් මාරුවට
+ හා
- ලෙස
පවතී. පළමු
පදය හැමවිටම +
වේ.
(x
-
y)4
= x4
-
4xy3
+ 6x2y2
- 4x3y
+ y4
යම්
වීජීය ප්රකාශයක් තවත් වීජීය
ප්රකාශයකින් බෙදිය හැකිය.
එවිට,
ලවයේ ඇති
ප්රකාශයෙහි වැඩිම දර්ශකයේ
අගය හරයේ ඇති වැඩිම දර්ශකයේ
අගයට වඩා වැඩි විය යුතුය.
උදාහරණයක්
ලෙස (x4
+ 3x2
– 5)/(x2
– x) යන්න
සුලු කළ හැකිය;
එහෙත්
(x3
+ 4x)/(x4)
සුලු කළ
නොහැකිය.
වීජීය
බෙදීම සිදු කරන්නේ කෙසේද?
හරයේ
හා ලවයේ ඇති ප්රකාශ දෙකෙහි
වැඩිම බලය සහිත පදය තමයි මෙහිදී
ප්රමුඛ වන්නේ.
සාමාන්යයෙන්
සංඛ්යාවක් තවත් සංඛ්යාවකින්
බෙදන ආකාරයෙන්ම එය සිදු කළ
හැකියි (එය
දීර්ඝ බෙදීම ලෙස හැඳින්වේ).
දීර්ඝ
බෙදීම (long
division) ක්රමයෙන්
එය සිදු කරන අයුරු උදාහරණයකින්
බලමු. "බෙදීමට
ලක්වන ප්රකාශය"
(dividend) හා
"බෙදීම
සිදු කරන ප්රකාශය"
යන ප්රකාශ
දෙකම (එනම්
හරය හා ලවය යන දෙකම)
සාධාරණ/පොදු
ආකාරයෙන් ලියන්න.
"බෙදීමට
ලක්වන ප්රකාශයේ"
වැඩිම
බලය සහිත පදය අහෝසි වීමට "බෙදීම
සිදු කරන ප්රකාශය"
(divisor) කුමන
පදයකින් ගුණ කළ යුතුද,
අන්න ඒ
පදය තමයි බෙදීමේ උඩින් හෙවත්
ලබ්ධියේ (quotient)
පළමු
ඉලක්කම ලෙස ලියන්නේ.
ඉන්පසු
එම පදයෙන් "බෙදීම
සිදු කරන මුලු ප්රකාශයම"
ගුණ කරමින්
"බෙදීමට
ලක්වූ ප්රකාශයට"
යටින්
ලිවිය යුතුය.
ඉන්පසු
තවමත්, එම
නව ප්රකාශය "බෙදීම
සිදු කරන ප්රකාශයට"
වඩා දර්ශක
පදයෙන් වැඩි නම්,
නැවතත්
සිදු කරන්නේ ඉහත ක්රියාවලියමයි.
මෙලෙස
"බෙදීම
සිදු කරන ප්රකාශයට"
වඩා දර්ශක
පදය අඩු වන තෙක් බෙදීම දිගටම
සිදු කරගෙන යා හැකියි.
x4 + 3x2 – 5 යන "බෙදීමට ලක්වන ප්රකාශය" පොදු ආකාරයෙන් බෙදීම තුල දක්වා තිබෙනවා. බෙදීම සිදු කරන ප්රකාශය තමයි x2 -x (එයද තිබෙන්නේ සාධාරණ ආකාරයටයි). දැන් "බෙදීමට ලක්වන ප්රකාශයේ" වැඩිම බලය වන x4 පදය අහෝසි කළ යුතුය. එය කළ හැක්කේ එම බලයට සමාන බලයක් සහිත x පදයකින් අඩු කළ විටයි. ඒ සඳහා x2 පදයකින් x2-x ප්රකාශය ගුණ කළ යුතු වෙනවා. එවිට, x4-x3 යන ප්රකාශය ලැබෙන අතර, එය යටින් ලියා අඩු කරනවා. එවිට දැන් ඉතිරි වන්නේ x3 බලය සහිත පදයකි. එය තවමත් "බෙදීම සිදු කරන ප්රකාශයේ" උපරිම බලය සහිත පදයට වඩා වැඩි අගයකි. එනිසා තව වටයක් බෙදීම සිදු කළ යුතුය. දැන් අහෝසි කළ යුත්තේ x3 බලය සහිත පදයයි. එය සිදු කරන්නේ "බෙදීම සිදු කරන ප්රකාශය" x වලින් වැඩි කළොත්ය. ඉතිං මේ විදියට බෙදාගෙන යන්න. අවසානයේ 4x – 5 යන ප්රකාශ ලැබුණි. මෙහි බලය 1 වන අතර එය බෙදීම සිදු කරන ප්රකාශයේ x2 හි ඇති දෙවැනි බලයට අඩු නිසා එතැනින් එහාට බෙදීම සිදු කළ නොහැකියි. ඉන්පසු අවසාන වශයෙන් මිශ්ර භාගයක ස්වරූපයෙන් පිළිතුර ලියන්න.
බලයන්
සහිත ප්රසාරිත වීජිය ප්රකාශනයක්
තිබෙන විට,
ඒ සමග කළ
හැකි තවත් සුලු කිරීමක් තමයි
සාධකවලට කැඩීම (ඔබ
එයත් දැන සිටිය යුතුය).
උදාහරණයක්
ලෙස,
(x2
– 4)
→ (x-2)(x+2)
(x2
+ 4x + 4)
→ (x+2)(x+2) = (x+2)2
වීජීය
ප්රකාශයක් තවත් වීජීය
ප්රකාශයකින් බෙදන විට (එනම්
භාගයක් ලෙස පවතින වීජීය
ප්රකාශයක් ගත් විට),
එම භාගික
වීජීය ප්රකාශයේ හරයේ තිබෙන
ප්රකාශය සාධක වලට කැඩිය හැකි
නම්, එමඟින්
මුලින් තිබූ තනි සංකීර්ණ භාගික
වීජීය ප්රකාශය වෙනුවට,
සරල භාගික
වීජීය ප්රකාශ රැසක එකතුවක්
ලෙස එය දැක්විය හැකියි.
එය සිදු
කරන අයුරු දැන් බලමු.
මුලින්ම
දී ඇති විශාල/සංකීර්ණ
භාගයේ හරය පෙර සඳහන් කළ ලෙසටම
සාධකවල ගුණිතයක් ලෙස සකස් කර
ගන්න. ඉන්පසු
හරයේ තිබෙන එක් එක් සාධක පදය
සලකන්න. එම
සාධක පදවල තිබෙන වැඩිම බලය/දර්ශකය
බලන්න. එවිට
හරයේ ඇති සාධක පදයේ තිබෙන
වැඩිම බලයට එකක් අඩු දර්ශකය
සහිත පොදු වීජීය ප්රකාශයක්
එම භාගයේ ලවයේ ලියන්න.
ඒ අනුව දර්ශක
අගයන් කිහිපයක් සඳහා ලැබෙන
ප්රතිපල පොදු/සාධාරණ
ආකාරයෙන් පහත දැක්වේ.
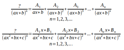
ඉන්පසු මෙලෙස A, B ආදී සංගුණක සහිත පොදු සරල වීජීය භාගවලින් නැවත තනි සංකීර්ණ ප්රකාශයක් සාදා ගන්න (මෙමඟින් අපට එම A, B ආදීයෙහි නියම අගයන් සෙවිය හැකියි). ඉන්පසු මුල් ප්රකාශය හා මෙම නව ප්රකාශයෙහි සංගුණක සොයන්න ඒවා එකිනෙකට සමාන කරමින්. මෙය වඩාත් හොඳින් තේරුම් ගැනීමට උදාහරණයක් බලමු.
ඉහත අවසානයට ලැබුණු ප්රකාශය සුලු කර A හා B වල අගයන් සොයා ගත හැකියි. එය විසඳිය හැකි එක් සරල ආකාරයක් නම්, A හා B යන දෙකෙන් එකක් වරකට 0 වන ආකාරයට ආගයන් x සඳහා ආදේශ කිරීමයි. ඒ අනුව, x = -2 වන විට, A(x+2) → A(-2+2) = A(0) = 0 වන නිසා, එවිට සුලු කළ විට ලැබෙන්නේ B අගයයි. එලෙසම x = 3 වන විට B ශූන්ය වී එමඟින් A හි අගය ලැබේ.
දැන් A, B අගයන් ඉහත ගණිත ප්රකාශයට අදේශ කළ හැකියි. එවිට,
තවත් උදාහරණයක් සලකමු.
යම් භාගික වීජීය ප්රකාශයක හරයේ ඇති ප්රකාශයේ යම් සාධකයක් පවතින්නේ බලයක් ලෙස නම්, එවිට පහත ආකාරයට දැක්විය යුතුය.
තවත් උදාහරණයකින් ඉහත කාරණය බලමු.
දැන් ඉහත ප්රකාශයෙහි දකුණු පස කොටස ප්රසාරණය කර, වම් පැත්තේ කොටසේ එක් එක් පදයට සමාන කර සංගුණක සොයන්න.
යම් අනුකලන ප්රකාශයක් පවතින්නේ f'(x)/f(x) යන භාගික ස්වරූපයෙන් නම්, එය සුලු කිරීම සඳහා කෙලින්ම අනුකලන සාම්යයක් පවතිනවා (∫f'(x)/f(x) dx = ln |f(x)| + c යන සාම්යය). උදාහරණයක් ලෙස,
මෙම
ක්රමයේ පදනම තමයි,
හරය
ලෙස පවතින ශ්රිතය සාධකවලට
කැඩීම.
එවිට
සංකීර්ණ තනි අනුපාතය වෙනුවට
සරල අනුපාත කිහිපයක් ලැබෙනවා.
ඉන්පසු
එම සරල අනුපාත/භාග
ඔබ දන්නා ඕනෑම අනුකලන සාම්යයක්
හෝ උපක්රමයක් යොදා බොහෝවිට
පහසුවෙන් අනුකලනය කළ හැකියි.
මෙය
උදාහරණයක් ආශ්රයෙන්ම තවදුරටත්
තේරුම් ගමු.
යන
ප්රකාශය සලකමු.
මෙහි
ලවයේ තිබෙන්නේ හරයේ තිබෙන
ශ්රිතයේ අවකලනය නොවන බැවින්,
ලඝු
සාම්යය මීට යොදා ගත නොහැකියි.
එනිසා
අප දැන් ඉගෙන ගනිමින් සිටින
භාගික ක්රමයෙන් එය විසඳන්නට
බලමු.
එම ගණිත
ප්රකාශයේ හරයේ තිබෙන ශ්රිතය
බලන්න.
එය
x2
– 2x
– 8
= (x – 4)(x
+ 2)
ලෙස
සාධක වලට කැඩිය හැකියි.
එවිට
ඉහත භාගික අනුකලන ප්රකාශය
ලෙස ලිවිය හැකියිනෙ.
එලෙස
සාධකවලට කඩපු පලියට එම ගණිත
ප්රකාශය තවමත්
සරල ප්රකාශ ගණනාවකට කැඩී
නැත.
එය
සරල ප්රකාශ කිහිපයක කැඩූ
විට
ලෙස ලැබිය යුතුය.
ඊට
හේතුව
වීමයි
(වීජීය
ගණිතය ගැන කෙටියෙන් ඉහත දැක්වූ
විස්තරය කියවන්න).
දැන්
බවට
පත් වේ.
දැන්
තනි සංකීර්ණ අනුකල ප්රකාශයක්
වෙනුවට පහසුවෙන් සුලු කළ හැකි
සරල අනුකල ප්රකාශ දෙකක් ලැබී
ඇත.
එය
සුලු කළ විට,
3ln|x-4|
- ln|x+2| + c ලැබේ.
තවත්
උදාහරණයක් පහත දැක්වේ.
මෙහිදීද
සංකීර්ණ භාගිය වීජීය ප්රකාශය
වෙනුවට සරල භාගික වීජීය ප්රකාශ
කිහිපයක් ලබා ගෙන ඇත.
තවත් උදාහරණයක් බලමු.
මෙහි ලවයේ බලය හරයට වඩා වැඩිය. එනිසා පළමුවෙන්ම මෙය බෙදා හරයේ බලයට වඩා ලවයේ බලය අඩු කර ගත යුතුය. එය බෙදන අයුරු පහත ඇත.
දැන් අනුකලනය කරන්නට තිබෙන්නේ මෙලෙස බෙදා ලබා ගත් කොටස් දෙකයි. තනි සංකීර්ණ භාගික ප්රකාශය මෙමඟින් සරල වී ඇති බව පේනවා නේද?
ඉන්පසු එය පහත ආකාරයට අනුකලනය කළ හැකියි.















Comments
Post a Comment
Thanks for the comment made on blog.tekcroach.top